Tootfinder

Opt-in global Mastodon full text search. Join the index!

No exact results. Similar results found.
@rmdes@mstdn.social
2026-02-01 19:03:37

Interesting !
❤️ islandinthenet.com/the-indie-w

@islamoyankee@mastodon.social
2026-04-01 18:52:35

Video: Relationships and Commitments: Land Beyond Ownership
Part of the Learning Series, Seasons of Responsibility: Interreligious Conversations on Environmental Justice and Repair There are ways to exist in harmony with all of creation that cultivate the soul and a relationship with the Divine. Hussein Rashid and Rabbi Gordon Tucker bring Muslim and Jewish texts into dialogue to explore how religious traditions resist transactional relationships with the earth and…

Chechen units ready to deploy to Iran in the event of US ground invasion: Reports

Chechen military units have announced their readiness to deploy to Iran to support the Iranian armed forces in the event of a US ground invasion, according to reports.
The forces, loyal to Ramzan Kadyrov, the head of Russia's Chechen Republic, describe the ongoing American-Israeli war against the Islamic Republic of Iran as a religious war.
They describe their possible direct interv…

@toxi@mastodon.thi.ng
2026-04-03 08:44:45

RE: mastodon.green/@gerrymcgovern/
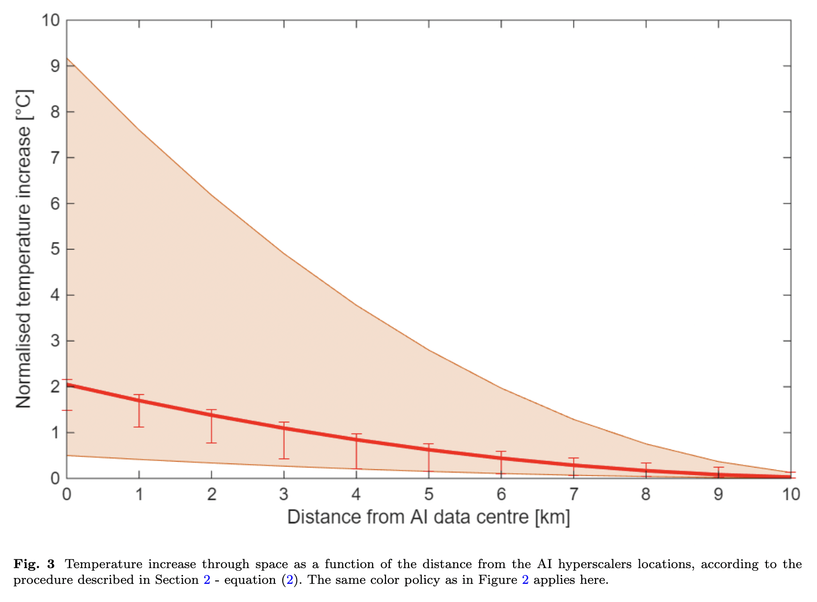
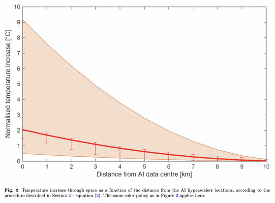
New paper about local temperature impact of AI data centers:
The data heat island effect: quantifying the impact of AI data centers in a warming world

Diagram from the linked paper showing "Temperature increase through space as a function of the distance from the AI hyperscalers locations". "The aggregate average of the LST difference is shown in red solid line. The shaded areas show the interval between the maximum and minimum value of LST increase that has been recorded across the considered AI hyperscalers".
@shriramk@mastodon.social
2026-03-01 17:03:47

Certainly picked an interesting day to walk past the Iranian embassy… There's not going to be a lot of quiet in Knightsbridge tonight!

Procession of cars flying the Iranian lion-and-sun (pre-Islamic Revolution) flag.
@heiseonline@social.heise.de
2026-03-19 11:50:00

20 Tage offline: Internetsperre im Iran jetzt die längste der Landesgeschichte
Erst im Januar hat die Islamische Republik das Internet länger gesperrt als je zuvor. Nun wurde dieser Rekord gebrochen – mit dramatischen Folgen.

@islamoyankee@mastodon.social
2026-04-01 18:52:32

Video: Relationships and Commitments: Land Beyond Ownership
youtube.com/watch?v=uOkm1GL3y0c
Part of the Learning Series, Seasons of Responsibility: Interreligious Conversations on Environmental Justice and Repair
There are ways to exist in harmony with all of creation …

@Techmeme@techhub.social
2026-02-24 21:26:17

Sources: MacBook Pros with touch screens, due this fall, will have a Dynamic Island and a refreshed, dynamic UI optimized for touch or point-and-click input (Mark Gurman/Bloomberg)
bloomberg.com/news/articles/20

@LaChasseuse@mastodon.scot
2026-01-29 20:35:35

This new Icelandic film looks like a winner. I love their films - so much dry wit and such an interesting culture and language! thelovethatremains.film/trailer

Cuba’s coast guard killed four people and wounded six others
during an exchange of fire with a Florida-registered speedboat off the island’s coast,
according to the country’s Interior Ministry.
Cuban officials said a patrol vessel approached the boat Wednesday morning to identify those on board
when shots were fired from the speedboat, wounding the captain of the Cuban craft.
The Interior Ministry said Cuban forces returned fire, killing four people aboard the …