
2025-08-16 03:36:26
The price of clown college is out of control!
https://www.mooseburger.com/product-page/moose-camp-registration-2026
The price of clown college is out of control!
https://www.mooseburger.com/product-page/moose-camp-registration-2026
Time appoints Michael Mraz as SVP, Head of Product and Platform AI for "infusing" AI into its product architecture, newsroom workflows, and audience engagement (Time)
https://time.com/7308072/time-appoints-michael-mraz-as-svp-head-of-prod…
Cohere hires Joelle Pineau, who previously led Meta's FAIR lab, as chief AI officer, to oversee AI strategy across Cohere's research, product, and policy teams (Maxwell Zeff/TechCrunch)
https://techcrunch.com/2025/08/14/cohe
Falconer's problem for dot product on paraboloids
Chun-Kai Tseng
https://arxiv.org/abs/2509.11710 https://arxiv.org/pdf/2509.11710
Product idea announcement:
Securing your company's most important digital assets of the 21st century: [productA] transforms your most valued AI prompts into blockchain-secured NFTs.
(Yes, I feel dirty to have come up with such an idea. But I won't be the only one coming up with such 💩, and by posting it I can later tell people "See? ProductB is just plagiarism!". I don't have any plans to make such a product. If your moral code allows you to do it to exploit …
Vor meinem geistigen Auge verschließt er übrigen Roséwein, aber ich glaub er kann auch Apfelsaft.
Handgemalter 30mm #wandklexschmuck auf Flaschenverschluss, ich möchte jemanden grüßen. 😁
(ein oder zwei weitere sind noch mit verschiedenen wählbaren Motiven im Shop auf
https://www.wandklex.art/product/7-12-flaschenverschluss-mit-mehreren-waehlbaren-handgemalten-motiven-174435 zu finden)
Generalized Symmetries and Deformations of Symmetric Product Orbifolds
Nathan Benjamin, Suzanne Bintanja, Yu-Jui Chen, Michael Gutperle, Conghuan Luo, Dikshant Rathore
https://arxiv.org/abs/2509.12180 …
product_space: Atlas of Economic Complexity export network
Two networks of economic products, where a pair of products are connected if they are exported at similar rates by the same countries. The data are a projection from a bipartite network of nations and the products they export. Edges weights represent a similarity score (called "proximity"). Data based on UN Comtrade worldwide trade patterns. SITC network based on the Standard International Trade Classification and HS …
Gradient-flowed operator product expansion without IR renormalons
Martin Beneke (TU Munich), Hiromasa Takaura (Kyoto University)
https://arxiv.org/abs/2510.12193 https://…
Cohomological Calibration and Curvature Constraints on Product Manifolds: A Topological Lower Bound
Alexander Pigazzini, Magdalena Toda
https://arxiv.org/abs/2509.11834 https://…
A Denotational Product Construction for Temporal Verification of Effectful Higher-Order Programs
Kazuki Watanabe, Mayuko Kori, Taro Sekiyama, Satoshi Kura, Hiroshi Unno
https://arxiv.org/abs/2510.11320
A tensor-based dynamic mode decomposition based on the $\star_{\boldsymbol{M}}$-product
Arvind K. Saibaba, Misha E. Kilmer, Khalil Hall-Hooper, Fan Tian, Alex Mize
https://arxiv.org/abs/2508.10126
Maybe weird question, but does anyone have a favorite moving blanket or tarp, ideally one with metal grommets?
I want something that can be tied down with straps when used to cover stuff like furniture on a pickup truck truckbed.
(Please only answer if you have direct experience and have a favorite product.)
On the fully analytical cumulative distribution of product of correlated Gaussian random Variables with zero means
Erdinc Akyildirim, Alper Hekimoglu
https://arxiv.org/abs/2509.09866
Establishing assembly-oriented modular product architectures through Design for Assembly enhanced Modular Function Deployment
Fabio Marco Monetti, Adam Lundstr\"om, Colin de Kwant, Magnus Gyllenskepp, Antonio Maffei
https://arxiv.org/abs/2510.11089
The logic of quantum mechanics
Eric Buffenoir
https://arxiv.org/abs/2510.12502 https://arxiv.org/pdf/2510.12502
In June the U.S. Army commissioned four high-level tech executives into the army reserve as lieutenant colonels:
Palantir’s CTO,
Meta’s CTO,
OpenAI’s chief product officer,
and an adviser at Thinking Machines Lab who was formerly OpenAI’s chief research officer
https://infosec.exchange/@…
Embedding the Teacher: Distilling vLLM Preferences for Scalable Image Retrieval
Eric He, Akash Gupta, Adian Liusie, Vatsal Raina, Piotr Molenda, Shirom Chabra, Vyas Raina
https://arxiv.org/abs/2510.12014
A very stupid workaround (as explained in the article, this has to be done at the factory to make it an officially different product), with the only goal to make it live harder for EV drivers by not offering card payments.
https://www.electrive.com/2025/08/15…
Leserbrief:
„Von Prince lernen, heißt siegen lernen. Ich freue mich schon jetzt auf: „The product formerly known as Veggie Burger“ im Kühlregal.“
https://www.taz.de/!6116584
Andererseits könnte die eggiewurst wirklich einfach Hans heißen.
Beyond wreath and block
Michal Botur, Tomasz Kowalski
https://arxiv.org/abs/2509.11610 https://arxiv.org/pdf/2509.11610
The maximum product of sizes of cross-\(t\)-intersecting families
Jingjun Bao, Lijun Ji
https://arxiv.org/abs/2510.11724 https://arxiv.org/pdf/2510.11724…
An algorithm for the Product-Sum Equality
Hlib Husarov, Eberhard Mayerhofer
https://arxiv.org/abs/2508.09647 https://arxiv.org/pdf/2508.09647
I am trying out @…, but there are a couple of things that would improve the QoL of the product.
Keyboard shortcuts to open the composer or search box.
And then being able to search for accounts while typing.
The Path-product in Morse Homology with differential graded coefficients
Robin Riegel (IRMA)
https://arxiv.org/abs/2508.09583 https://arxiv.org/pdf/2508.09…
SVD-based ugmt-gft on directed product graphs
Guoyun Xie, Zhichao Zhang
https://arxiv.org/abs/2510.10532 https://arxiv.org/pdf/2510.10532
Types of graded tensor products of graded von Neumann algebras
Jumpei Tanaka
https://arxiv.org/abs/2508.10084 https://arxiv.org/pdf/2508.10084
AppLovin shut down Array last quarter, calling it "a test product" that wasn't "economically viable", after allegations it led to unwanted Android app installs (Bloomberg)
https://www.bloomberg.com/news/articles/20
Color Me Correctly: Bridging Perceptual Color Spaces and Text Embeddings for Improved Diffusion Generation
Sung-Lin Tsai, Bo-Lun Huang, Yu Ting Shen, Cheng Yu Yeo, Chiang Tseng, Bo-Kai Ruan, Wen-Sheng Lien, Hong-Han Shuai
https://arxiv.org/abs/2509.10058
Browns' Quinshon Judkins expected to start in NFL debut, will be on 'pitch count' alongside Dylan Sampson
https://www.cbssports.com/nfl/news/browns…
Berger-Joyal duality and traces I
Nicholas Cecil, Benjamin Cooper
https://arxiv.org/abs/2509.11423 https://arxiv.org/pdf/2509.11423
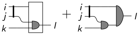
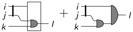
Had a great time presenting our paper “Domain-specific tensor languages” today at #ICFP2025 in Singapore 🇸🇬
The images attached are screenshots from the paper as teasers — diagrams for derivative rules, the Riemann curvature 4-tensor in Einstein’s index notation, and the same in diagram form.
📄 Slides:
Crosslisted article(s) found for cs.AI. https://arxiv.org/list/cs.AI/new
[1/6]:
- Personalized Product Search Ranking: A Multi-Task Learning Approach with Tabular and Non-Tabular ...
Morishetti, Kumar, Scott, Nag, Sharma, Vashishtha, Sridhar, Chatter, Achan
User eXperience Perception Insights Dataset (UXPID): Synthetic User Feedback from Public Industrial Forums
Mikhail Kulyabin, Jan Joosten, Choro Ulan uulu, Nuno Miguel Martins Pacheco, Fabian Ries, Filippos Petridis, Jan Bosch, Helena Holmstr\"om Olsson
https://arxiv.org/abs/2509.11777
Determining nonlinear balance laws in product-type domains by a single local passive boundary observation
Chaohua Duan, Hongyu Liu, Qingle Meng, Li Wang
https://arxiv.org/abs/2510.10571
Abstract String Domain Defined with Word Equations as a Reduced Product (Extended Version)
Antonina Nepeivoda, Ilya Afanasyev
https://arxiv.org/abs/2510.11007 https://
Human or Robot? Evidence from Last-Mile Delivery Service
Baorui Li, Xincheng Ma, Brian Rongqing Han, Daizhong Tang, Lei Fu
https://arxiv.org/abs/2509.11562 https://
From Pixels to Shelf: End-to-End Algorithmic Control of a Mobile Manipulator for Supermarket Stocking and Fronting
Davide Peron, Victor Nan Fernandez-Ayala, Lukas Segelmark
https://arxiv.org/abs/2509.11740
It’s interesting to see Microsoft engineer shitting on Microsoft product on Microsoft dev blog 😂https://devblogs.microsoft.com/oldnewthing/20250915-00/?p=111599
GenAI-Enabled Backlog Grooming in Agile Software Projects: An Empirical Study
Kasper Lien Oftebro, Anh Nguyen-Duc, Kai-Kristian Kemell
https://arxiv.org/abs/2507.10753
Silly me! Concerning my previous post about Apple upgrades, I should have mentioned I am referring to the various operating systems, NOT hardware. I certainly do not upgrade every time a new product comes out!
I’m not intending to upgrade either iPhones or Apple Watches this year. #apple
The New York Sun is reviving its print product for the first time since 2008, with weekly editions published in a Berliner format on Fridays (Sara Fischer/Axios)
https://www.axios.com/2025/10/14/new-york-sun-print-edition
product_space: Atlas of Economic Complexity export network
Two networks of economic products, where a pair of products are connected if they are exported at similar rates by the same countries. The data are a projection from a bipartite network of nations and the products they export. Edges weights represent a similarity score (called "proximity"). Data based on UN Comtrade worldwide trade patterns. SITC network based on the Standard International Trade Classification and HS …
Hausdorff measure of cartesian product of Cantor sets
Siyuan Guo, Taylor Jones
https://arxiv.org/abs/2510.09701 https://arxiv.org/pdf/2510.09701
Looking for a phantomjs alternative, ran a search and ended up on a page with a seemingly good comparison of possibilities, until you realize the page is on zenrows.com domain. I don't think I'll take YOUR word for your product. Not sure what snakeoil they might be selling but feels overtly self-aggrandizing at least
now that I’ve got one to replace my rusty old TS3, you may know that the CalDigit TS5 is back in stock in Europe again: https://shop.caldigit.com/eu/Docking-Stations?product_id=226
Product Of Exponentials (POE) Splines on Lie-Groups: Limitations, Extensions, and Application to SO(3) and SE(3)
Andreas Mueller
https://arxiv.org/abs/2508.10513 https://…
SystolicAttention: Fusing FlashAttention within a Single Systolic Array
Jiawei Lin, Guokai Chen, Yuanlong Li, Thomas Bourgeat
https://arxiv.org/abs/2507.11331
Crosslisted article(s) found for cs.FL. https://arxiv.org/list/cs.FL/new
[1/1]:
- Abstract String Domain Defined with Word Equations as a Reduced Product (Extended Version)
Antonina Nepeivoda, Ilya Afanasyev
New complexity bounds for primal--dual interior-point algorithms in conic optimization
Joachim Dahl, Levent Tun\c{c}el, Lieven Vandenberghe
https://arxiv.org/abs/2509.10263 http…
Active Sequential Hypothesis Testing with Non-Homogeneous Costs
George Vershinin, Asaf Cohen, Omer Gurewitz
https://arxiv.org/abs/2509.11632 https://arxiv.…
Output-Sparse Matrix Multiplication Using Compressed Sensing
Huck Bennett, Karthik Gajulapalli, Alexander Golovnev, Evelyn Warton
https://arxiv.org/abs/2508.10250 https://
Residual Finiteness of Graph Wreath Products
Amy Needham
https://arxiv.org/abs/2509.11170 https://arxiv.org/pdf/2509.11170…
Sources: Meta plans its fourth AI restructuring in six months, dividing Superintelligence Labs into TBD Lab, a product team, an infrastructure team, and FAIR (Kalley Huang/The Information)
https://www.theinformation.com/articles/meta-plans-fourth…
Personalized Product Search Ranking: A Multi-Task Learning Approach with Tabular and Non-Tabular Data
Lalitesh Morishetti, Abhay Kumar, Jonathan Scott, Kaushiki Nag, Gunjan Sharma, Shanu Vashishtha, Rahul Sridhar, Rohit Chatter, Kannan Achan
https://arxiv.org/abs/2508.09636
A Fibration Theorem and Chas-Sullivan product for Morse-Novikov Homology with differential graded coefficients
Robin Riegel (IRMA)
https://arxiv.org/abs/2508.09580 https://
Erst wollt ich die coolen Dinger fürn Adventskalender aufheben, aber so what, hab ja eh nur 4 Paar dieser wie ich finde sehr chicen Fassungen da.
Daher jetzt auf #wandklexschmuck, eh klar, diese 3 fertig, 1x in Wunschfarbe bestellbar.
AI Answer Engine Citation Behavior An Empirical Analysis of the GEO16 Framework
Arlen Kumar, Leanid Palkhouski
https://arxiv.org/abs/2509.10762 https://arx…
Deconstructing Attention: Investigating Design Principles for Effective Language Modeling
Huiyin Xue, Nafise Sadat Moosavi, Nikolaos Aletras
https://arxiv.org/abs/2510.11602 htt…
Agnostic Product Mixed State Tomography via Robust Statistics
Alvan Arulandu, Ilias Diakonikolas, Daniel Kane, Jerry Li
https://arxiv.org/abs/2510.08472 https://
product_space: Atlas of Economic Complexity export network
Two networks of economic products, where a pair of products are connected if they are exported at similar rates by the same countries. The data are a projection from a bipartite network of nations and the products they export. Edges weights represent a similarity score (called "proximity"). Data based on UN Comtrade worldwide trade patterns. SITC network based on the Standard International Trade Classification and HS …
On the verification of a Nicolas inequality
Orlando Galdames-Bravo
https://arxiv.org/abs/2509.11182 https://arxiv.org/pdf/2509.11182
Dimension of Bi-degree $(d,d)$ Spline Spaces with the Highest Order of Smoothness over Hierarchical T-Meshes
Bingru Huang, Falai Chen
https://arxiv.org/abs/2507.11047
i don’t understand the product positioning they’re doing for the iPhone Pro, with the “tough sports power tool truck nuts” product design and marketing.
People went for the Pro instead of basic iPhone basically for the camera, no?
So people who want the better camera and just a normal phone now have… nothing.
Do they have a lot of demand for a tough sports power tool truck nuts phone?
And who wants the Air, that’s mainly more expensive than the basic phone but has a worse camera?
Prioritizing Recurrent Services
Lin (Franklin), Feng, Yue Hu, Xu Kuang
https://arxiv.org/abs/2509.11383 https://arxiv.org/pdf/2509.11383
Crosslisted article(s) found for cs.CL. https://arxiv.org/list/cs.CL/new
[1/1]:
- Personalized Product Search Ranking: A Multi-Task Learning Approach with Tabular and Non-Tabular ...
Morishetti, Kumar, Scott, Nag, Sharma, Vashishtha, Sridhar, Chatter, Achan
Paramount hires Meta's Dane Glasgow as chief product officer, reporting directly to CEO David Ellison; Glasgow is Facebook's former VP of product management (Alex Weprin/The Hollywood Reporter)
https://www.hollywoodreporter.com/business
Bound on entanglement in neural quantum states
Nisarga Paul
https://arxiv.org/abs/2510.11797 https://arxiv.org/pdf/2510.11797
On the Squared Distance Matrix of a Starlike Block Graph
Joyentanuj Das, Sumit Mohanty
https://arxiv.org/abs/2509.10854 https://arxiv.org/pdf/2509.10854
Clicks Versus Conversion: Choosing a Recommender's Training Objective in E-Commerce
Michael Weiss, Robert Rosenbach, Christian Eggenberger
https://arxiv.org/abs/2508.10377 h…
OpenAI's massive deals show Sam Altman is selling a vision of a world-changing product and achieving it via world-changing financial engineering to raise $1T (Matt Levine/Bloomberg)
https://www.bloomberg.com/opinion/newsletters/2025-10-13/openai-keeps-d…
Ach ja: das ovm letzten Post wird bzw. ist für sowas.
Handgemalter #wandklexschmuck, eh klar - zu finden auf https://www.wandklex.art/product/handgemalte-aquarellminiaturen-brigg-als-halsschmuck-oder-armschmuck-508480.
kegg_metabolic: Metabolic networks from KEGG (2006)
109 metabolic networks of various species, as extracted from the Kyoto Encyclopedia of Genes and Genomes (KEGG) database in March 2006. Nodes are substances involved in enzymatic reactions present in the organism, and edges represent reactant-product pairs as extracted from the KEGG ligand database and matched against the present enzymes.
This network has 1509 nodes and 4256 edges.
Tags: Biological, Metabolic, Unweighted…
High-dimensional autocompensating discrete modulation CV-QKD protocol in optical fibers
Alexandre V\'azquez-Mart\'inez, Xes\'us Prieto-Blanco, Eduardo F. Mateo, Jes\'us Li\~nares
https://arxiv.org/abs/2508.10442
Bounded Littlewood identities with fixed number of odd rows or odd columns
JiSun Huh, Jang Soo Kim, Christian Krattenthaler, Soichi Okada
https://arxiv.org/abs/2510.11054 https:…
At Dreamforce 2025, Salesforce unveils Agentforce 360, a unified agentic AI stack to connect humans, AI agents, and more, and positions Slack as an "agentic OS" (Larry Dignan/Constellation Research)
https://www.constellationr.com/blog-news/i
LLP: LLM-based Product Pricing in E-commerce
Hairu Wang, Sheng You, Qiheng Zhang, Xike Xie, Shuguang Han, Yuchen Wu, Fei Huang, Jufeng Chen
https://arxiv.org/abs/2510.09347 http…
Wave-Based Semantic Memory with Resonance-Based Retrieval: A Phase-Aware Alternative to Vector Embedding Stores
Aleksandr Listopad
https://arxiv.org/abs/2509.09691 https://
Von führenden Meerjungfrauen empfohlen ☺
Die handgemalten #wandklexschmuck Galaxien sind in Echt 925 Sterling Silber gefasst; gibts auch in echtvergoldet - und in mehreren Galaxienfarben. Zu finden auf https://www.wandklex.art/product/zierlicher-nixe-galaxien-ohrhaenger-oder-halsschmuck-handgemalte-farbnebel-in-meerjungfrauen-anhaenger-aus-925-sterling-silber-echtsilber-original-aquarell-223108.
Replaced article(s) found for quant-ph. https://arxiv.org/list/quant-ph/new
[2/3]:
- Efficient mutual magic and magic capacity with matrix product states
Poetri Sonya Tarabunga, Tobias Haug
Some conjectures of Schlosser and Zhou on sign patterns of the coefficients of infinite products
Bing He, Linpei Li
https://arxiv.org/abs/2509.10023 https://
epinions: Epinions product ratings (2005)
A bipartite network of users and the products they rated on the website Epinions.com. A user connects to all products on which that user entered a rating. Edge weight represents the rating score, and edges are timestamped.
This network has 876252 nodes and 13668320 edges.
Tags: Economic, Preferences, Timestamps, Weighted
Generating Query-Relevant Document Summaries via Reinforcement Learning
Nitin Yadav, Changsung Kang, Hongwei Shang, Ming Sun
https://arxiv.org/abs/2508.08404 https://
Approximating the operator norm of local Hamiltonians via few quantum states
Lars Becker, Joseph Slote, Alexander Volberg, Haonan Zhang
https://arxiv.org/abs/2509.11979 https://…
Completions of pairwise comparison data that minimize the triad measure of inconsistency
Susana Furtado, Charles Johnson
https://arxiv.org/abs/2510.12351 https://
Causal Inspired Multi Modal Recommendation
Jie Yang, Chenyang Gu, Zixuan Liu
https://arxiv.org/abs/2510.12325 https://arxiv.org/pdf/2510.12325
Improved Quantum Lifting by Coherent Measure-and-Reprogram
Alexandru Cojocaru, Juan Garay, Qipeng Liu, Fang Song
https://arxiv.org/abs/2509.09896 https://a…
Mira Murati's Thinking Machines Lab launches its first product, Tinker, which automates the creation of custom frontier AI models (Will Knight/Wired)
https://www.wired.com/story/thinking-machines-lab-first-product-fine-tune/
product_space: Atlas of Economic Complexity export network
Two networks of economic products, where a pair of products are connected if they are exported at similar rates by the same countries. The data are a projection from a bipartite network of nations and the products they export. Edges weights represent a similarity score (called "proximity"). Data based on UN Comtrade worldwide trade patterns. SITC network based on the Standard International Trade Classification and HS …
Quadratic Embedding Constants of Cartesian Products and Joins of Graphs
Projesh Nath Choudhury, Raju Nandi
https://arxiv.org/abs/2508.10834 https://arxiv.o…
Simulating and Sampling from Quantum Circuits with 2D Tensor Networks
Manuel S. Rudolph, Joseph Tindall
https://arxiv.org/abs/2507.11424 https://
Dynamic Network-Based Two-Stage Time Series Forecasting for Affiliate Marketing
Zhe Wang, Yaming Yang, Ziyu Guan, Bin Tong, Rui Wang, Wei Zhao, Hongbo Deng
https://arxiv.org/abs/2510.11323
product_space: Atlas of Economic Complexity export network
Two networks of economic products, where a pair of products are connected if they are exported at similar rates by the same countries. The data are a projection from a bipartite network of nations and the products they export. Edges weights represent a similarity score (called "proximity"). Data based on UN Comtrade worldwide trade patterns. SITC network based on the Standard International Trade Classification and HS …
Log-Concavity and Log-Convexity of Restricted Infinite Products
Krystian Gajdzica, Bernhard Heim, Markus Neuhauser
https://arxiv.org/abs/2509.11246 https://
Quantum Circuit Complexity of Matrix-Product Unitaries
Georgios Styliaris, Rahul Trivedi, J. Ignacio Cirac
https://arxiv.org/abs/2508.08160 https://arxiv.o…
Transition Matrices between Plethystic Bases of Polysymmetric Functions via Bijective Methods
Aditya Khanna
https://arxiv.org/abs/2510.12723 https://arxiv.…
Tomography-assisted noisy quantum circuit simulator using matrix product density operators
Wei-guo Ma, Yun-Hao Shi, Kai Xu, Heng Fan
https://arxiv.org/abs/2508.07610 https://